B 270®
市場をリードする透過率と厚さ範囲
B 270®の材料特性
1. 光学
| 光学特性 | 値 |
|---|---|
| 屈折率* ng | 1.5341 |
| 屈折率* nF' | 1.5297 |
| 屈折率* nF | 1.5292 |
| 屈折率* ne | 1.5251 ± 0.001 |
| 屈折率* nd | 1.5230 |
| 屈折率* nD | 1.5229 |
| 屈折率* nC' | 1.5207 |
| 屈折率* nC | 1.5203 |
| アッベ数 νe | 58.3 ± 0.6 |
| 光弾性定数 (nm/cm)/Mpa | 27.5 |
* 屈折率:
サンプルの前処理。供給時の状態 [「延伸時」]
2. 熱
| 一般的な熱特性 | 単位 | 値 |
|---|---|---|
| 平均比熱容量 cp | in J/(g·K) (20 °C ; 100 °C) | 0.8 |
| 転移温度 Tg | °C | 542 |
10-6·K-1での熱膨張係数 (CTE) α (静的測定)
| 度 | 値 |
|---|---|
| (20 °C; 300 °C) | 9.4 |
| (20 °C; 200 °C) | 9.0 |
| (20 °C; 100 °C) | 8.6 |
10-6·K-1での熱膨張係数(CTE)α(動的測定)
| 度 | 値 |
|---|---|
| (20 °C; 100 °C) | 8.6 |
| (20 °C; 150 °C) | 8.8 |
| (20 °C; 200 °C) | 9.0 |
| (20 °C; 250 °C) | 9.2 |
| (20 °C; 300 °C) | 9.4 |
| (20 °C; 350 °C) | 9.6 |
| (20 °C; 400 °C) | 9.7 |
| (20 °C; 450 °C) | 9.9 |
| 粘度 | 粘度 lg ŋ (単位 dPas) | 温度 (単位°C) |
|---|---|---|
| ひずみ点 | 14.5 | 507 |
| アニール点 | 13.0 | 535 |
| 軟化点 | 7.6 | 711 |
可溶性:
SCHOTT ARTISTA®ガラスを使用し、適切な温度/時間プログラムで溶融することにより、最大70 nm/cmの応力複屈折率の技術的にストレスのない化合物を取得することができます。
3. 機械加工
| 機械的特性 |
単位 | 値 |
|---|---|---|
| 密度 ρ | 単位 g/cm³ | 2.56 |
| ヤング率 E | kN/mm² | 71.1 |
| ポアソン比 μ | 0.22 | |
| ねじれ弾性係数 G | kN/mm² | 29 |
| ヌープ硬度 | HK 0.1/20 | 500 |
| ビッカース硬さ | HV 0.2/25 | 510 |
化学強化(厚み = 2.0 mm)
| 単位 | 値 |
|---|---|
| 温度 ϑ(単位 °C) | 410 |
| 時間 t (単位 h) | 4 |
| 圧縮応力(CS)(単位 MPa) | 441 |
| 層深さ (DoL) (単位 µm) | 11 |
熱強化:
B 270® の熱強化が可能
4. 化学
| 耐加水分解性(DIN ISO 719に準拠) | 値 |
|---|---|
| クラス | HGB 3 |
| ガラス粒子1gあたりのアルカリ当量(μg/g) | 136 |
| 耐酸性(DIN 12116に準拠) | 値 |
|---|---|
| クラス | S 2 |
| 6時間経過後の片面重量損失(単位 dm²) | 0.7 |
| 耐アルカリ性(DIN ISO 695に準拠) | 値 |
|---|---|
| クラス | A 1 |
| 3時間経過後の片面重量損失(単位 mg/dm²) | 71 |
5. 測色
| 厚さ 2.0 mmで色度座標 * | 値 |
|---|---|
| D65 | x = 0.313 |
| D65 | y = 0.329 |
| A | x = 0.448 |
| A | y = 0.408 |
* 色度座標(色軌跡)は、CIE(2°-Observer)規格の標準光源を基準としています
| 厚み方向での一般演色評価数 Ra (単位mm) | 値 |
|---|---|
| 2.0 | 100 |
6. 電気系統
| 誘電率 εr(θ = 25 °C時) | 値 |
|---|---|
| 1 MHz時 | 7.5 |
| 1 GHz時 | 6.7 |
| 2 GHz時 |
6.8 |
| 5 GHz時 | 6.7 |
| 24 GHz時 |
6.6 |
| 散逸係数 tan δ(ϑ =25 °C時) |
値 |
|---|---|
| 1 MHz時 | 32 · 10-4 |
| 1 GHz時 | 59 · 10-4 |
| 2 GHz時 |
66 · 10-4 |
| 5 GHz時 | 84 · 10-4 |
| 24 GHz時 | 150 · 10-4 |
| 電気容量抵抗 ρD Ω·cm (50 Hz時) |
|---|
| 6.1 · 107 (ϑ = 250 °C) |
| 1.6 · 106 (ϑ = 350 °C) |
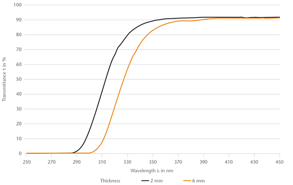
7. 透過率値
分光透過率 250 ~ 3200 nm

分光透過率 250 ~ 450 nm

| 厚み2.0mm時の波長(nm): | τ (λ) in % |
|---|---|
| 254 | < 0.1 |
| 380 | 90.8 |
| 632.8 | 91.9 |
| 1064 | 91.8 |
| 厚み2mm時の端部波長 | 波長[nm] |
|---|---|
| λc (τ = 0,46) | 310 |
| λS (τ = 0,05) | 293 |
| λP (τ = 0,85) | 338 |
| 2mm厚でのUV照射後のソラリゼーション* | Δ λc nm |
|---|---|
| 紫外線端の波長 λc (τ = 0,46) を長波長側にシフト | < 2 |
* 測定および試験手順:
試料は UV - F 400 フラッドランプで照射されます。
照射時間は7時間で、投光ランプと試料固定部の距離は14 cmです。
| 厚み方向の光線透過率(単位:mm) | τvD65 in % | τvA in % |
|---|---|---|
| 2.0 | 91.7 | 91.7 |
| 厚み方向の紫外線透過率(mm) | τUVA in % | τUVB in % |
|---|---|---|
| 2.0 | 84 | 19 |
| 厚み方向のIR透過率(単位mm) | τA % |
|---|---|
| 2.0 | 91.9 |
| 厚み方向の日射直接透過率(単位mm) | τein % |
|---|---|
| 2.0 | 91.6 |
B 270® Thinの材料特性
1. 光学
| 光学特性 | 値 |
|---|---|
| 屈折率* ng | 1.5341 |
| 屈折率* nF' | 1.5297 |
| 屈折率* nF | 1.5292 |
| 屈折率* ne | 1.5251 ± 0.001 |
| 屈折率* nd | 1.5230 |
| 屈折率* nD | 1.5229 |
| 屈折率* nC' | 1.5207 |
| 屈折率* nC | 1.5203 |
| アッベ数νe | 58.3 ± 0.6 |
| 光弾性定数 (nm/cm)/Mpa | 28.6 |
* 屈折率:
サンプルの前処理。供給時の状態 [「延伸時」]
2. 熱
| 一般的な熱特性 | 単位 | 値 |
|---|---|---|
| CTE (熱膨張係数) α | 10-6·K-1 (20 °C; 300 °C) | 9.4 |
| 平均比熱容量 cp | J/(g·K) (20 °C ; 100 °C) | 0.8 |
| 転移温度 Tg | °C | 536 |
| 粘度 | 粘度 lg ŋ (単位 dPas) | 温度 (単位 °C) |
|---|---|---|
| ひずみ点 | 14.5 | 505 |
| アニール点 | 13.0 | 535 |
| 軟化点 | 7.6 | 723 |
3. 機械
| 機械的特性 |
単位 | 値 |
|---|---|---|
| 密度 ρ | 単位 g/cm³ | 2.56 |
| ヤング率 E | kN/mm² | 69.8 |
| ポアソン比 μ | 0.25 | |
| ねじれ弾性係数 G | kN/mm² | 28 |
| ヌープ硬さ | HK 0.1/20 | 480 |
| ビッカース硬さ | HV 0.2/25 | 520 |
化学強化(厚み = 0.3 mm)
| 単位 | 値 |
|---|---|
| 温度 ϑ (単位 °C) | 410 |
| 時間 t (単位 h) | 4 |
| 圧縮応力(CS)(単位 MPa) | 331 |
| 層深さ(DoL)(単位 µm) | 16 |
4. 化学
| 耐加水分解性(DIN ISO 719に準拠) | 値 |
|---|---|
| クラス | HGB 3 |
| ガラス粒子1gあたりのアルカリ当量(単位 μg/g) | 170 |
| 耐酸性(DIN 12116に準拠) | 値 |
|---|---|
| クラス | S 2 |
| 6時間経過後の片面重量損失(単位 mg/dm²) | 1.0 |
| 耐アルカリ性(DIN ISO 695に準拠) | 値 |
|---|---|
| クラス | A 2 |
| 3時間経過後の片面重量損失(単位 mg/dm²) | 80 |
5. 電気
| 誘電率 εr(ϑ= 25 °C時) | 値 |
|---|---|
| 1 MHz時 | 7.2 |
| 1 GHz時 | 6.8 |
| 2 GHz時 |
6.8 |
| 5 GHz時 | 6.7 |
| 24 GHz時 |
6.8 |
| 77 GHz時 | 6.5 |
| 損失係数 tanδ(ϑ= 25 °C時) |
値 |
|---|---|
| 1 MHz時 | 32 · 10-4 |
| 1 GHz時 | 59 · 10-4 |
| 2 GHz時 |
66 · 10-4 |
| 5 GHz時 | 84 · 10-4 |
| 24 GHz時 | 150 · 10-4 |
| 77 GHz時 | 230 · 10-4 |
| 直流電流に対する導電率 σ (単位 S/cm) | 値 |
|---|---|
| 25 °C時 | 5 · 10-16 |
| 250 °C時 | 4 · 10-9 |
| 350 °C時 | 2 · 10-7 |
| 交流電流50 Hzに対する電気容量抵抗 ρD(単位 Ω·cm) | 値 |
|---|---|
| 25 °C時 | 8.6 · 1011 |
| 250 °C時 | 2.4 · 108 |
| 350 °C時 | 5.8 · 106 |
| 温度 tk 100 (単位 °C) | 値 |
|---|---|
| 108 Ω cm時 | 272 |
6. 透過率値
分光透過率250~3050 nm

分光透過率: 250~450 nm

| 厚み0.3mm時の波長(単位 nm): | τ(λ) (単位 %) |
|---|---|
| 254 | < 0.1 |
| 380 | 91.3 |
| 632.8 | 92.0 |
| 1064 | 92.2 |
| mm の厚みにおける端部波長 λc(τ = 0.46) | 波長(単位 nm) |
|---|---|
| 0.3 | 287 |
| 0.9 | 299 |
| 厚み方向の光線透過率(単位 mm) | τvD65 (単位 %) | τvA (単位 %) |
|---|---|---|
| 0.3 | 91.9 | 91.9 |
| 0.9 | 91.6 | 91.7 |
B 270®製品
SCHOTT B 270®には以下のものがあります:
- 薄板
- サイズ変更可能な基板
- 研磨された基板とウェハ
SCHOTT B 270®Thinには以下のものがあります:
- サイズ変更可能な基板
- 未精製の基板とウェハ
詳細については、概要ページの関連製品をご覧ください。