Technische Daten für B 270®
Transmissions- und Dickenbereich
Materialeigenschaften von B 270®
1. Optisch
| Optische Eigenschaften | Wert |
|---|---|
| Brechungsindex* ng | 1,5341 |
| Brechungsindex* nF' | 1,5297 |
| Brechungsindex* nF | 1,5292 |
| Brechungsindex* ne | 1,5251 ± 0,001 |
| Brechungsindex* nd | 1,5230 |
| Brechungsindex* nD | 1,5229 |
| Brechungsindex* nC' | 1,5207 |
| Brechungsindex* nC | 1,5203 |
| Abbesche Zahl νe | 58,3 ± 0,6 |
| Spannungsoptische Konstante in (nm/cm)/Mpa | 27,5 |
* Brechungsindex:
Vorbehandlung von Proben. Lieferzustand [„wie gezogen“]
2. Thermisch
| Allgemeine thermische Eigenschaften |
Einheit | Wert |
|---|---|---|
| Mittlere spezifische Wärmekapazität t cp | in J/(g·K) (20 °C; 100 °C) | 0,8 |
| Transformationstemperatur Tg | in °C | 542 |
Wärmeausdehnungskoeffizient (CTE) α in 10-6·K-1 (statische Messung)
| Grad | Wert |
|---|---|
| (20 °C; 300 °C) | 9,4 |
| (20 °C; 200 °C) | 9,0 |
| (20 °C; 100 °C) | 8,6 |
Wärmeausdehnungskoeffizient (CTE) α in 10-6·K-1 (dynamische Messung)
| Grad | Wert |
|---|---|
| (20 °C; 100 °C) | 8,6 |
| (20 °C; 150 °C) | 8,8 |
| (20 °C; 200 °C) | 9,0 |
| (20 °C; 250 °C) | 9,2 |
| (20 °C; 300 °C) | 9,4 |
| (20 °C; 350 °C) | 9,6 |
| (20 °C; 400 °C) | 9,7 |
| (20 °C; 450 °C) | 9,9 |
| Viskosität | Viskosität lg η in dPas | Temperatur in °C |
|---|---|---|
| Untere Kühltemperatur | 14,5 | 507 |
| Obere Kühltemperatur | 13,0 | 535 |
| Erweichungstemperatur | 7,6 | 711 |
Verschmelzbarkeit:
Die Verschmelzung mit SCHOTT ARTISTA® Glastypen unter Verwendung eines angepassten Temperatur-/Zeitprogramms ergibt eine technisch spannungsfreie Verbindung mit einer maximalen Spannungsdoppelbrechung von 70 nm/cm.
3. Mechanisch
| Mechanische Eigenschaften |
Einheit | Wert |
|---|---|---|
| Dichte ρ | in g/cm³ | 2,56 |
| Elastizitätsmodul E | in kN/mm² | 71,1 |
| Poisson Zahl µ | 0,22 | |
| Torsionsmodul G | in kN/mm² | 29 |
| Knoop-Härte | HK 0,1/20 | 500 |
| Vickers-Härte | HV 0,2/25 | 510 |
Chemisches Vorspannen (für Dicke = 2,0 mm)
| Einheit | Wert |
|---|---|
| Temperatur ϑ in °C | 410 |
| Dauer t in h | 4 |
| Druckspannung (CS) in MPa | 441 |
| Schichttiefe (DoL) in µm | 11 |
Thermisches Vorspannen:
Thermisches Vorspannen von B 270® möglich
4. Chemisch
| Hydrolytische Beständigkeit (gemäß DIN ISO 719) | Wert |
|---|---|
| Klasse | HGB 3 |
| Basenäquivalent als Na2O je g Glasgrieß in µg/g | 136 |
| Säurebeständigkeit (gemäß DIN 12116) | Wert |
|---|---|
| Klasse | S 2 |
| Halber Oberflächengewichtsverlust nach 6 Std. in mg/dm² | 0,7 |
| Laugenbeständigkeit (gemäß DIN ISO 695) | Wert |
|---|---|
| Klasse | A 1 |
| Oberflächengewichtsverlust nach 3 Std. in mg/dm² | 71 |
5. Farbmetrik
| Normfarbwertanteile* bei einer Dicke 2,0 mm | Wert |
|---|---|
| D65 | x = 0,313 |
| D65 | y = 0,329 |
| A | x = 0,448 |
| A | y = 0,408 |
* Die Normfarbwertanteile (Farbort) beziehen sich auf die angegebenen Normlichtarten CIE (2°-Beobachter)
| Allgemeiner Farbwiedergabeindex Ra bei Dicke in mm | Wert |
|---|---|
| 2,0 | 100 |
6. Elektrisch
| Dielektrizitätskonstante εr (bei ϑ = 25 °C) | Wert |
|---|---|
| bei 1 MHz | 7,5 |
| bei 1 GHz | 6,7 |
| bei 2 GHz |
6,8 |
| bei 5 GHz | 6,7 |
| bei 24 GHz |
6.6 |
| Dielektrischer Verlustfaktor tan δ (bei ϑ = 25 °C) |
Wert |
|---|---|
| bei 1 MHz | 32 · 10-4 |
| bei 1 GHz | 59 · 10-4 |
| bei 2 GHz |
66 · 10-4 |
| bei 5 GHz | 84 · 10-4 |
| bei 24 GHz | 150 · 10-4 |
| Spezifischer elektrischer Durchgangswiderstand ρD in Ω·cm (bei 50 Hz) |
|---|
| 6,1 · 107 (ϑ = 250 °C) |
| 1,6 · 106 (ϑ = 350 °C) |
7. Transmissionswerte
Spektrale Transmission 250 - 3200 nm

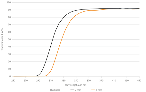
Spektrale Transmission 250 - 450 nm

| Wellenlänge in nm bei einer Dicke 2,0 mm: | τ (λ) in % |
|---|---|
| 254 | < 0,1 |
| 380 | 90,8 |
| 632,8 | 91,9 |
| 1064 | 91,8 |
| Kantenlage bei 2 mm Dicke | Wellenlänge in nm |
|---|---|
| λc (τ = 0,46) | 310 |
| λS (τ = 0,05) | 293 |
| λP (τ = 0,85) | 338 |
| Solarisation* nach UV-Bestrahlung bei 2 mm Dicke | Δ λc in nm |
|---|---|
| Verschiebung der Kantenwellenlänge λ c (τ = 0,46) nach UV-Bestrahlung hin zu längeren Wellenlängen | < 2 |
* Mess- und Prüfverfahren:
Die Probe wird mit einer UV – F 400 Flächenstrahler solarisiert.
Die Solarisationszeit beträgt 7 h, der Abstand zwischen Strahler und Probenauflage beträgt 14 cm.
| Lichttransmissionsgrad bei einer Dicke in mm | τvD65 in % | τvA in % |
|---|---|---|
| 2,0 | 91,7 | 91,7 |
| UV-Transmissiongrad bei einer Dicke in mm | τUVA in % | τUVB in % |
|---|---|---|
| 2,0 | 84 | 19 |
| IR-Transmissionsgrad bei einer Dicke in mm | τAin % |
|---|---|
| 2,0 | 91,9 |
| Direkter Strahlungstransmissionsgrad bei einer Dicke | τein % |
|---|---|
| 2,0 | 91,6 |
Materialeigenschaften von B 270® Thin
1. Optisch
| Optische Eigenschaften | Wert |
|---|---|
| Brechungsindex* ng | 1,5341 |
| Brechungsindex* nF' | 1,5297 |
| Brechungsindex* nF | 1,5292 |
| Brechungsindex* ne | 1,5251 ± 0,001 |
| Brechungsindex* nd | 1,5230 |
| Brechungsindex* nD | 1,5229 |
| Brechungsindex* nC' | 1,5207 |
| Brechungsindex* nC | 1,5203 |
| Abbesche Zahl νe | 58,3 ± 0,6 |
| Spannungsoptische Konstante in (nm/cm)/Mpa | 28,6 |
* Brechungsindex:
Vorbehandlung von Proben. Lieferzustand [„wie gezogen“]
2. Thermisch
| Allgemeine thermische Eigenschaften | Einheit | Wert |
|---|---|---|
| CTE (Wärmeausdehnungskoeffizient) α | 10-6·K-1 (20 °C; 300 °C) | 9,4 |
| Mittlere spezifische Wärmekapazität cp | in J/(g·K) (20 °C; 100 °C) | 0,8 |
| Transformationstemperatur Tg | in °C | 536 |
| Viskosität | Viskosität lg η in dPas | Temperatur in °C |
|---|---|---|
| Untere Kühltemperatur | 14,5 | 505 |
| Obere Kühltemperatur | 13,0 | 535 |
| Erweichungstemperatur | 7,6 | 723 |
3. Mechanisch
| Mechanische Eigenschaften |
Einheit | Wert |
|---|---|---|
| Dichte ρ | in g/cm³ | 2,56 |
| Elastizitätsmodul E | in kN/mm² | 69,8 |
| Poisson Zahl µ | 0,25 | |
| Torsionsmodul G | in kN/mm² | 28 |
| Knoop-Härte | HK 0,1/20 | 480 |
| Vickers-Härte | HV 0,2/25 | 520 |
Chemisches Vorspannen (für Dicke = 0,3 mm)
| Einheit | Wert |
|---|---|
| Temperatur ϑ in °C | 410 |
| Dauer t in h | 4 |
| Druckspannung (CS) in MPa | 331 |
| Schichttiefe (DoL) in µm | 16 |
4. Chemisch
| Hydrolytische Beständigkeit (gemäß DIN ISO 719) | Wert |
|---|---|
| Klasse | HGB 3 |
| Basenäquivalent als Na2O je g Glasgrieß in µg/g | 170 |
| Säurebeständigkeit (gemäß DIN 12116) | Wert |
|---|---|
| Klasse | S 2 |
| Halber Oberflächengewichtsverlust nach 6 Std. in mg/dm² | 1,0 |
| Laugenbeständigkeit (gemäß DIN ISO 695) | Wert |
|---|---|
| Klasse | A 2 |
| Oberflächengewichtsverlust nach 3 Std. in mg/dm² | 80 |
5. Elektrisch
| Dielektrizitätskonstante εr (bei ϑ= 25 °C) | Wert |
|---|---|
| bei 1 MHz | 7,2 |
| bei 1 GHz | 6,8 |
| bei 2 GHz |
6,8 |
| bei 5 GHz | 6,7 |
| bei 24 GHz |
6,8 |
| bei 77 GHz | 6,5 |
| Verlustfaktor tanδ (bei ϑ= 25 °C) |
Wert |
|---|---|
| bei 1 MHz | 32 · 10-4 |
| bei 1 GHz | 59 · 10-4 |
| bei 2 GHz |
66 · 10-4 |
| bei 5 GHz | 84 · 10-4 |
| bei 24 GHz | 150 · 10-4 |
| bei 77 GHz | 230 · 10-4 |
| Leitfähigkeit σ in S/cm für Gleichstrom | Wert |
|---|---|
| bei 25 °C | 5 · 10-16 |
| bei 250 °C | 4 · 10-9 |
| bei 350 °C | 2 · 10-7 |
| Spezifischer elektrischer Durchgangswiderstand ρD in Ω·cm für Wechselstrom 50 Hz | Wert |
|---|---|
| bei 25 °C | 8.6 · 1011 |
| bei 250 °C | 2.4 · 108 |
| bei 350 °C | 5.8 · 106 |
| Temperatur tk 100 in °C | Wert |
|---|---|
| bei 108 Ω · cm | 272 |
6. Transmissionswerte
Spektrale Transmission 250 - 3050 nm

Spektrale Transmission: 250-450 nm

| Wellenlänge in nm bei einer Dicke 0,3 mm: | τ(λ) in % |
|---|---|
| 254 | < 0,1 |
| 380 | 91,3 |
| 632,8 | 92,0 |
| 1064 | 92,2 |
| Kantenwellenlänge λc (τ = 0,46) bei einer Dicke in mm | Wellenlänge in nm |
|---|---|
| 0,3 | 287 |
| 0,9 | 299 |
| Lichttransmissionsgrad bei einer Dicke in mm | τvD65 in % | τvA in % |
|---|---|---|
| 0,3 | 91,9 | 91,9 |
| 0,9 | 91,6 | 91,7 |
B 270® Produkte
SCHOTT B 270® ist erhältlich als:
- Sheets
- Zugeschnittene Substrate
- Polierte Substrate und Wafer
SCHOTT B 270® Thin ist erhältlich als:
- Zugeschnittene Substrate
- Unpolierte Substrate und Wafer
Weitere Informationen finden Sie bei den entsprechenden Produkten auf der Übersichtsseite.