B 270®
시장을 선도하는 투과율 및 두께 범위
B 270®의 소재 특성
1. 광학
| 광학적 특성 | 값 |
|---|---|
| 굴절률* ng | 1.5341 |
| 굴절률* nF' | 1.5297 |
| 굴절률* nF | 1.5292 |
| 굴절률* ne | 1.5251 ± 0.001 |
| 굴절률* nd | 1.5230 |
| 굴절률* nD | 1.5229 |
| 굴절률* nC' | 1.5207 |
| 굴절률* nC | 1.5203 |
| Abbe 값 νe | 58.3 ± 0.6 |
| 광탄성 상수 (nm/cm)/Mpa | 27.5 |
* 굴절률:
샘플 전처리. 공급시 상태 ["그림에 표시"]
2. 열
| 일반 열 특성 | 유닛 | 값 |
|---|---|---|
| 평균 비열 용량 cp | in J/(g·K) (20 °C, 100 °C) | 0.8 |
| 유리전이 온도 Tg | °C 단위 | 542 |
10-6·K-1의 열 팽창 계수 (CTE) α (정적 측정)
| 도 | 값 |
|---|---|
| (20 °C, 300 °C) | 9.4 |
| (20 °C, 200 °C) | 9.0 |
| (20 °C, 100 °C) | 8.6 |
10-6·K-1의 열 팽창 계수 (CTE) α (동적 측정)
| 도 | 값 |
|---|---|
| (20 °C, 100 °C) | 8.6 |
| (20 °C, 150 °C) | 8.8 |
| (20 °C, 200 °C) | 9.0 |
| (20 °C, 250 °C) | 9.2 |
| (20 °C, 300 °C) | 9.4 |
| (20 °C, 350 °C) | 9.6 |
| (20 °C, 400 °C) | 9.7 |
| (20 °C, 450 °C) | 9.9 |
| 점도 | 점도 lg ŋ (dPas) | 온도 (°C) |
|---|---|---|
| 변형점 | 14.5 | 507 |
| 서냉점 | 13.0 | 535 |
| 연화점 | 7.6 | 711 |
용융성:
조정된 온도/시간 프로그램을 사용하여 SCHOTT ARTISTA® 유리 유형과 융합하면 최대 응력 복굴절이 70 nm/cm인 기술적으로 응력이 없는 화합물이 생성됩니다.
3. 기계적
| 기계적 특성 |
유닛 | 값 |
|---|---|---|
| 밀도 ρ | g/cm³ 단위 | 2.56 |
| 영률 E | kN/mm² 단위 | 71.1 |
| 푸아송비(Poisson‘s ratio) µ | 0.22 | |
| 비틀림 계수 G | kN/mm² 단위 | 29 |
| 누프 경도(Knoop hardness) | HK 0.1/20 | 500 |
| 비커스 경도 | HV 0.2/25 | 510 |
화학적 강화 (두께 = 2.0 mm)
| 유닛 | 값 |
|---|---|
| 온도 ϑ (°C) | 410 |
| 시간 t (h) | 4 |
| 압축 응력 (CS) (MPa) | 441 |
| 층 깊이 (DoL) (μm) | 11 |
열 강화:
B 270®의 열 강화 가능
4. 화학
| 가수분해 내성 (DIN ISO 719 기준) | 값 |
|---|---|
| 등급 | HGB 3 |
| 유리 입자 g당 알칼리의 당량 (μg/g) | 136 |
| 내산성 (DIN 12116 기준) | 값 |
|---|---|
| 등급 | S 2 |
| 6시간 후의 하프 표면 중량 손실 (mg/dm²) | 0.7 |
| 내알칼리성 (DIN ISO 695 기준) | 값 |
|---|---|
| 등급 | A 1 |
| 3시간 후의 표면 중량 손실 (mg/dm²) | 71 |
5. 색 측정
| 2.0 mm 두께에서의 색도 좌표* | 값 |
|---|---|
| D65 | x = 0.313 |
| D65 | y = 0.329 |
| A | x = 0.448 |
| A | y = 0.408 |
* 색도 좌표(색상 궤적)는 CIE(2°-Observer)에 따라 명명된 표준 광원으로 지칭됩니다.
| mm 두께의 일반 색상 렌더링 지수 Ra | 값 |
|---|---|
| 2.0 | 100 |
6. 전기
| 유전율 εr (ϑ = 25 °C 기준) | 값 |
|---|---|
| 1 MHz 기준 | 7.5 |
| 1 GHz 기준 | 6.7 |
| 2 GHz 기준 |
6.8 |
| 5 GHz 기준 | 6.7 |
| 24 GHz 기준 |
6.6 |
| 소산 계수 tan δ (ϑ = 25 °C 기준) |
값 |
|---|---|
| 1 MHz 기준 | 32 · 10-4 |
| 1 GHz 기준 | 59 · 10-4 |
| 2 GHz 기준 |
66 · 10-4 |
| 5 GHz 기준 | 84 · 10-4 |
| 24 GHz 기준 | 150 · 10-4 |
| 전기적 볼륨 저항력 ρD° (Ω·cm) (50 Hz 기준) |
|---|
| 6.1 · 107 (ϑ = 250 °C) |
| 1.6 · 106 (ϑ = 350 °C) |
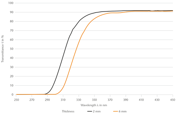
7. 투과율 값
스펙트럼 투과율 250~3200nm

스펙트럼 투과율 250~450nm

| 두께 2.0 mm에서 파장 (nm): | τ (λ) (%) |
|---|---|
| 254 | 0.1 미만 |
| 380 | 90.8 |
| 632.8 | 91.9 |
| 1064 | 91.8 |
| 2 mm 두께에서 엣지 파장 | 파장 (nm) |
|---|---|
| λc (τ = 0,46) | 310 |
| λS (τ = 0,05) | 293 |
| λP (τ = 0,85) | 338 |
| 2 mm 두께에서 UV 조사 후의 광 반전* | Δ λc (nm) |
|---|---|
| 더 긴 파장 방향으로 UV 에지 파장 λc (τ = 0,46)의 이동 | < 2 |
* 측정 및 테스트 절차:
샘플은 UV - F 400 플러드 램프로 조사됩니다.
조사 시간은 7시간이며, 플러드 램프와 샘플 고정 간의 거리는 14 cm입니다.
| mm 두께의 광 투과율 | τvD65 (%) | τvA (%) |
|---|---|---|
| 2.0 | 91.7 | 91.7 |
| mm 두께의 UV 투과율 | τUVA (%) | τUVB (%) |
|---|---|---|
| 2.0 | 84 | 19 |
| mm 두께의 IR 투과율 | τA(%) |
|---|---|
| 2.0 | 91.9 |
| 두께의 태양광 직접 투과율 | τe(%) |
|---|---|
| 2.0 | 91.6 |
B 270® Thin의 소재 특성
1. 광학
| 광학적 특성 | 값 |
|---|---|
| 굴절률* ng | 1.5341 |
| 굴절률* nF' | 1.5297 |
| 굴절률* nF | 1.5292 |
| 굴절률* ne | 1.5251 ± 0.001 |
| 굴절률* nd | 1.5230 |
| 굴절률* nD | 1.5229 |
| 굴절률* nC' | 1.5207 |
| 굴절률* nC | 1.5203 |
| Abbe 값 νe | 58.3 ± 0.6 |
| 광탄성 상수 (nm/cm)/Mpa | 28.6 |
* 굴절률:
샘플 전처리. 공급시 상태 ["그림에 표시"]
2. 열
| 일반 열 특성 | 유닛 | 값 |
|---|---|---|
| CTE(열 팽창 계수) α | 10-6·K-1 (20 °C; 300 °C) | 9.4 |
| 평균 비열 용량 cp | J/(g·K) (20 °C ; 100 °C) 단위 | 0.8 |
| 유리전이 온도 Tg | °C 단위 | 536 |
| 점도 | 점도 lg ŋ (dPas) | 온도 (°C) |
|---|---|---|
| 변형점 | 14.5 | 505 |
| 서냉점 | 13.0 | 535 |
| 연화점 | 7.6 | 723 |
3. 기계적
| 기계적 특성 |
유닛 | 값 |
|---|---|---|
| 밀도 ρ | g/cm³ 단위 | 2.56 |
| 영률 E | kN/mm² 단위 | 69.8 |
| 푸아송비 µ | 0.25 | |
| 비틀림 계수 G | kN/mm² 단위 | 28 |
| 누프 경도 | HK 0.1/20 | 480 |
| 비커스 경도 | HV 0.2/25 | 520 |
화학적 강화 (두께 = 0.3 mm)
| 유닛 | 값 |
|---|---|
| 온도 (°C) | 410 |
| 시간 t (h) | 4 |
| 압축 응력 (CS) (MPa) | 331 |
| 층 깊이 (DoL) (μm) | 16 |
4. 화학
| 가수분해 내성 (DIN ISO 719 기준) | 값 |
|---|---|
| 등급 | HGB 3 |
| 유리 입자 g당 알칼리의 당량 (μg/g) | 170 |
| 내산성 (DIN 12116 기준) | 값 |
|---|---|
| 등급 | S 2 |
| 6시간 후의 하프 표면 중량 손실 (mg/dm²) | 1.0 |
| 내알칼리성 (DIN ISO 695 기준) | 값 |
|---|---|
| 등급 | A 2 |
| 3시간 후의 표면 중량 손실 (mg/dm²) | 80 |
5. 전기
| 유전율 εr (ϑ= 25 °C 기준) | 값 |
|---|---|
| 1 MHz 기준 | 7.2 |
| 1 GHz 기준 | 6.8 |
| 2 GHz 기준 |
6.8 |
| 5 GHz 기준 | 6.7 |
| 24 GHz 기준 |
6.8 |
| 77 GHz 기준 | 6.5 |
| 소산 계수 tanδ (ϑ= 25 °C 기준) |
값 |
|---|---|
| 1 MHz 기준 | 32 · 10-4 |
| 1 GHz 기준 | 59 · 10-4 |
| 2 GHz 기준 |
66 · 10-4 |
| 5 GHz 기준 | 84 · 10-4 |
| 24 GHz 기준 | 150 · 10-4 |
| 77 GHz 기준 | 230 · 10-4 |
| 직류에 대한 전도도 σ (S/cm) | 값 |
|---|---|
| 25 °C 기준 | 5 · 10-16 |
| 250 °C 기준 | 4 · 10-9 |
| 350 °C 기준 | 2 · 10-7 |
| 교류 50 Hz에 대한 전기적 볼륨 저항력 ρD (Ω·cm) | 값 |
|---|---|
| 25 °C 기준 | 8.6 · 1011 |
| 250 °C 기준 | 2.4 · 108 |
| 350 °C 기준 | 5.8 · 106 |
| 온도 tk 100 (°C) | 값 |
|---|---|
| 108 Ω· cm 기준 | 272 |
6. 투과율 값
스펙트럼 투과율 250~3,050nm

스펙트럼 투과율: 250~450nm

| 두께 0.3 mm에서 파장 (nm): | τ(λ) (%) |
|---|---|
| 254 | 0.1 미만 |
| 380 | 91.3 |
| 632.8 | 92.0 |
| 1064 | 92.2 |
| 에지 파장 λc (τ = 0.46) mm 두께 단위 | 파장 (nm) |
|---|---|
| 0.3 | 287 |
| 0.9 | 299 |
| mm 두께의 광 투과율 | τvD65 (%) | τvA (%) |
|---|---|---|
| 0.3 | 91.9 | 91.9 |
| 0.9 | 91.6 | 91.7 |
B 270® 제품군
SCHOTT B 270® 구성:
- 판유리
- 맞춤 제작 기판
- 연마 기판 및 웨이퍼
SCHOTT B 270® Thin 구성:
- 맞춤 제작 기판
- 비연마 기판 및 웨이퍼
자세한 정보는 개요 페이지에서 관련 제품을 참조하십시오.