Detalhes técnicos do B 270®
A melhor transmitância e faixa de espessuras do mercado
Propriedades de material do vidro B 270®
1. Características ópticas
| Propriedades ópticas | Valor |
|---|---|
| Índice de refração* ng | 1,5341 |
| Índice de refração* nF' | 1,5297 |
| Índice de refração* nF | 1,5292 |
| Índice de refração* ne | 1,5251 ± 0,001 |
| Índice de refração* nd | 1,5230 |
| Índice de refração* nD | 1,5229 |
| Índice de refração* nC' | 1,5207 |
| Índice de refração* nC | 1,5203 |
| Valor Abbe νe | 58,3 ± 0,6 |
| Constante fotoelástica em (nm/cm)/Mpa | 27,5 |
* Índices de refração:
Pré-tratamento de amostras. Condição conforme fornecido [“conforme desenhado”]
2. Características térmicas
| Propriedades térmicas gerais | Unidade | Valor |
|---|---|---|
| Capacidade térmica específica média cp | em J/(g·K) (20 °C; 100 °C) | 0,8 |
| Temperatura de transformação Tg | em °C | 542 |
Coeficiente de expansão térmica (CTE) α em 10-6·K-1 (medição estática)
| Grau | Valor |
|---|---|
| (20 °C; 300 °C) | 9,4 |
| (20 °C; 200 °C) | 9,0 |
| (20 °C; 100 °C) | 8,6 |
Coeficiente de expansão térmica (CTE)°α em 10-6·K-1 (medição dinâmica)
| Grau | Valor |
|---|---|
| (20 °C; 100 °C) | 8,6 |
| (20 °C; 150 °C) | 8,8 |
| (20 °C; 200 °C) | 9,0 |
| (20 °C; 250 °C) | 9,2 |
| (20 °C; 300 °C) | 9,4 |
| (20 °C; 350 °C) | 9,6 |
| (20 °C; 400 °C) | 9,7 |
| (20 °C; 450 °C) | 9,9 |
| Viscosidades | Viscosidade lg ŋ em dPas | Temperatura em °C |
|---|---|---|
| Ponto de tensão | 14,5 | 507 |
| Ponto de recozimento | 13,0 | 535 |
| Ponto de amolecimento | 7,6 | 711 |
Capacidade de fusão:
A fusão com os tipos de vidro SCHOTT ARTISTA® usando um programa adaptado de temperatura/tempo resulta em um composto tecnicamente isento de tensão com uma birrefringência de tensão máxima de 70 nm/cm.
3. Propriedades mecânicas
| Propriedades mecânicas |
Unidade | Valor |
|---|---|---|
| Densidade ρ | em g/cm³ | 2,56 |
| Módulo de Young E | em kN/mm² | 71,1 |
| Coeficiente de Poisson µ | 0,22 | |
| Módulo de torção G | em kN/mm² | 29 |
| Dureza Knoop | HK 0,1/20 | 500 |
| Dureza Vickers | HV 0,2/25 | 510 |
Endurecimento químico (para espessura = 2,0 mm)
| Unidade | Valor |
|---|---|
| Temperatura ϑ em °C | 410 |
| Tempo t em h | 4 |
| Tensão compressiva (CS) em MPa | 441 |
| Profundidade de camada (DoL) em μm | 11 |
Têmpera térmica:
A têmpera térmica do B 270® é possível
4. Características químicas
| Resistência hidrolítica (de acordo com a DIN ISO 719) | Valor |
|---|---|
| Classe | HGB 3 |
| Equivalente de álcalis por grama de grãos de vidro em μg/g | 136 |
| Resistência aos ácidos (de acordo com a DIN 12116) | Valor |
|---|---|
| Classe | S 2 |
| Perda de peso em meia superfície após 6 horas em mg/dm² | 0,7 |
| Resistência aos álcalis (de acordo com a DIN ISO 695) | Valor |
|---|---|
| Classe | A 1 |
| Perda de peso da superfície após 3 horas em mg/dm² | 71 |
5. Colorimetria
| Coordenadas de cromaticidade* com espessura de 2,0 mm | Valor |
|---|---|
| D65 | x = 0,313 |
| D65 | y = 0,329 |
| Α | x = 0,448 |
| Α | y = 0,408 |
* As coordenadas de cromaticidade (local colorido) são chamadas de Iluminante Padrão de acordo com CIE (2°-Observador)
| Índice geral de reprodução de cor Ra com espessura em mm | Valor |
|---|---|
| 2,0 | 100 |
6. Características elétricas
| Constante dielétrica εr (a ϑ = 25 °C) | Valor |
|---|---|
| a 1 MHz | 7,5 |
| a 1 GHz | 6,7 |
| a 2 GHz |
6,8 |
| a 5 GHz | 6,7 |
| a 24 GHz |
6,6 |
| Fator de dissipação tan δ (a ϑ = 25 °C) |
Valor |
|---|---|
| a 1 MHz | 32 · 10-4 |
| a 1 GHz | 59 · 10-4 |
| a 2 GHz |
66 · 10-4 |
| a 5 GHz | 84 · 10-4 |
| a 24 GHz | 150 · 10-4 |
| Resistividade de volume elétrico ρD em Ω·cm (a 50 Hz) |
|---|
| 6,1 · 107 (ϑ = 250 °C) |
| 1,6 · 106 (ϑ = 350 °C) |
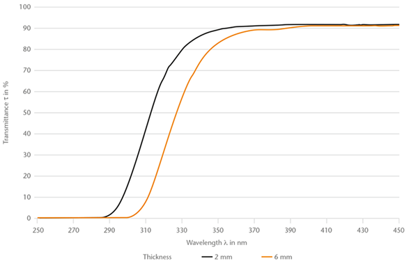
7. Valores de transmitância
Transmitância espectral 250 a 3.200 nm

Transmitância espectral 250 a 450 nm

| Comprimento de onda em nm na espessura de 2,0 mm: | τ (λ) em % |
|---|---|
| 254 | < 0,1 |
| 380 | 90,8 |
| 632,8 | 91,9 |
| 1064 | 91,8 |
| Comprimento de onda da borda com espessura de 2,0 mm | Comprimento de onda em nm |
|---|---|
| λc (τ = 0,46) | 310 |
| λS (τ = 0,05) | 293 |
| λP (τ = 0,85) | 338 |
| Solarização* após radiação UV com espessura de 2 mm | Δ λc em nm |
|---|---|
| Deslocamento do comprimento de onda da borda UV λc (τ = 0,46) na direção de comprimento de onda mais longo | < 2 |
* Procedimentos de medição e teste:
A amostra será irradiada com um farol de milha UV - F 400.
O tempo de irradiação é de 7 h; a distância entre o farol de milha e o fixador da amostra é de 14 cm.
| Transmitância luminosa na espessura em mm | τvD65 em % | τvA em % |
|---|---|---|
| 2,0 | 91,7 | 91,7 |
| Transmitância UV na espessura em mm | τUVA em % | τUVB em % |
|---|---|---|
| 2,0 | 84 | 19 |
| Transmitância IV na espessura em mm | τAem % |
|---|---|
| 2,0 | 91,9 |
| Transmitância solar direta na espessura em mm | τeem % |
|---|---|
| 2,0 | 91,6 |
Propriedades de material do vidro B 270® Thin
1. Características ópticas
| Propriedades ópticas | Valor |
|---|---|
| Índice de refração* ng | 1,5341 |
| Índice de refração* nF' | 1,5297 |
| Índice de refração* nF | 1,5292 |
| Índice de refração* ne | 1,5251 ± 0,001 |
| Índice de refração* nd | 1,5230 |
| Índice de refração* nD | 1,5229 |
| Índice de refração* nC' | 1,5207 |
| Índice de refração* nC | 1,5203 |
| Valor Abbe νe | 58,3 ± 0,6 |
| Constante fotoelástica em (nm/cm)/Mpa | 28,6 |
* Índices de refração:
Pré-tratamento de amostras. Condição conforme fornecido [“conforme desenhado”]
2. Características térmicas
| Propriedades térmicas gerais | Unidade | Valor |
|---|---|---|
| CTE (Coeficiente de expansão térmica) α | 10-6·K-1 (20 °C; 300 °C) | 9,4 |
| Capacidade térmica específica média cp | em J/(g·K) (20 °C ; 100 °C) | 0,8 |
| Temperatura de transformação Tg | em °C | 536 |
| Viscosidades | Viscosidade lg ŋ em dPas | Temperatura em °C |
|---|---|---|
| Ponto de tensão | 14,5 | 505 |
| Ponto de recozimento | 13,0 | 535 |
| Ponto de amolecimento | 7,6 | 723 |
3. Propriedades mecânicas
| Propriedades mecânicas |
Unidade | Valor |
|---|---|---|
| Densidade p | em g/cm³ | 2,56 |
| Módulo de Young E | em kN/mm² | 69,8 |
| Coeficiente de Poisson µ | 0,25 | |
| Módulo de torção G | em kN/mm² | 28 |
| Dureza Knoop | HK 0,1/20 | 480 |
| Dureza Vickers | HV 0,2/25 | 520 |
Endurecimento químico (para espessura = 0,3 mm)
| Unidade | Valor |
|---|---|
| Temperatura ϑ em °C | 410 |
| Tempo t em h | 4 |
| Tensão compressiva (CS) em MPa | 331 |
| Profundidade de camada (DoL) em μm | 16 |
4. Características químicas
| Resistência hidrolítica (de acordo com a DIN ISO 719) | Valor |
|---|---|
| Classe | HGB 3 |
| Equivalente de álcalis por grama de grãos de vidro em μg/g | 170 |
| Resistência aos ácidos (de acordo com a DIN 12116) | Valor |
|---|---|
| Classe | S 2 |
| Perda de peso em meia superfície após 6 horas em mg/dm² | 1,0 |
| Resistência aos álcalis (de acordo com a DIN ISO 695) | Valor |
|---|---|
| Classe | A 2 |
| Perda de peso da superfície após 3 horas em mg/dm² | 80 |
5. Características elétricas
| Constante dielétrica εr (a θ= 25 °C) | Valor |
|---|---|
| a 1 MHz | 7,2 |
| a 1 GHz | 6,8 |
| a 2 GHz |
6,8 |
| a 5 GHz | 6,7 |
| a 24 GHz |
6,8 |
| a 77 GHz | 6,5 |
| Fator de dissipação tan δ (a θ= 25 °C) |
Valor |
|---|---|
| a 1 MHz | 32 · 10-4 |
| a 1 GHz | 59 · 10-4 |
| a 2 GHz |
66 · 10-4 |
| a 5 GHz | 84 · 10-4 |
| a 24 GHz | 150 · 10-4 |
| a 77 GHz | 230 · 10-4 |
| Condutividade σ em S/cm para corrente contínua | Valor |
|---|---|
| a 25 °C | 5 · 10-16 |
| a 250 °C | 4 · 10-9 |
| a 350 °C | 2 · 10-7 |
| Resistividade de volume elétrico ρD em Ω·cm para corrente alternada de 50 Hz | Valor |
|---|---|
| a 25 °C | 8,6 · 1011 |
| a 250 °C | 2,4 · 108 |
| a 350 °C | 5,8 · 106 |
| Temperatura tk 100 em °C | Valor |
|---|---|
| a 108 Ω · cm | 272 |
6. Valores de transmitância
Transmitância espectral 250 a 3.050 nm

Transmitância espectral: 250 a 450 nm

| Comprimento de onda em nm na espessura de 0,3 mm: | τ(λ) em % |
|---|---|
| 254 | < 0,1 |
| 380 | 91,3 |
| 632,8 | 92,0 |
| 1064 | 92,2 |
| Comprimento de onda da borda λc (τ = 0,46) com espessura em mm | Comprimento de onda em nm |
|---|---|
| 0,3 | 287 |
| 0,9 | 299 |
| Transmitância luminosa na espessura em mm | τvD65 em % | τvA em % |
|---|---|---|
| 0,3 | 91,9 | 91,9 |
| 0,9 | 91,6 | 91,7 |
Produtos B 270®
O SCHOTT B 270® está disponível nos seguintes formatos:
- Placas
- Substratos cortados sob medida
- Wafers e substratos sem polimento
O SCHOTT B 270® Thin está disponível nos seguintes formatos:
- Substratos°cortados sob medida
- Substratos e wafers não polidos
Para saber mais, consulte os produtos relacionados na página de resumo.