Caractéristiques techniques de B 270®
Une gamme de transmission et d'épaisseur leader sur le marché
Propriétés du matériau B 270®
1. Optique
| Propriétés optiques | Valeur |
|---|---|
| Indice de réfraction* ng | 1,5341 |
| Indice de réfraction* nF' | 1,5297 |
| Indice de réfraction* nF | 1,5292 |
| Indice de réfraction* ne | 1,5251 ± 0,001 |
| Indice de réfraction* nd | 1,5230 |
| Indice de réfraction* nD | 1,5229 |
| Indice de réfraction* nC' | 1,5207 |
| Indice de réfraction* nC | 1,5203 |
| Valeur Abbe νe | 58,3 ± 0,6 |
| Constante photoélastique en (nm/cm)/Mpa | 27,5 |
* Indices de réfraction :
Prétraitement des échantillons. État à la livraison [« tel que dessiné »]
2. Thermique
| Propriétés thermiques générales | Unité | Valeur |
|---|---|---|
| Capacité thermique spécifique moyenne cp | en J/(g·K) (20 °C ; 100 °C) | 0,8 |
| Température de transformation Tg | en °C | 542 |
Coefficient de dilatation thermique (CTE) α en 10-6·K-1 (mesure statique)
| Degré | Valeur |
|---|---|
| (20 °C ; 300 °C) | 9,4 |
| (20 °C ; 200 °C) | 9,0 |
| (20 °C ; 100 °C) | 8,6 |
Coefficient de dilatation thermique (CTE) α en 10-6·K-1 (mesure dynamique)
| Degré | Valeur |
|---|---|
| (20 °C ; 100 °C) | 8,6 |
| (20 °C ; 150 °C) | 8,8 |
| (20 °C ; 200 °C) | 9,0 |
| (20 °C ; 250 °C) | 9,2 |
| (20 °C ; 300 °C) | 9,4 |
| (20 °C ; 350 °C) | 9,6 |
| (20 °C ; 400 °C) | 9,7 |
| (20 °C ; 450 °C) | 9,9 |
| Viscosités | lg ŋ de viscosité en dPas | Température en °C |
|---|---|---|
| Point de tension | 14,5 | 507 |
| Température supérieure de recuit | 13,0 | 535 |
| Température de ramollissement | 7,6 | 711 |
Fusibilité :
Le rebrûlage avec les types de verre SCHOTT ARTISTA® à l’aide d’un programme de température/temps adapté permet d’obtenir un composé techniquement sans contrainte avec une biréfringence de contrainte maximale de 70 nm/cm.
3. Mécanique
| Propriétés mécaniques |
Unité | Valeur |
|---|---|---|
| Densité ρ | en g/cm³ | 2,56 |
| Module E de Young | en kN/mm² | 71,1 |
| Rapport de Poisson μ | 0,22 | |
| Module de torsion G | en kN/mm² | 29 |
| Dureté Knoop | HK 0,1/20 | 500 |
| Dureté Vickers | HV 0,2/25 | 510 |
Trempe chimique (pour épaisseur = 2,0 mm)
| Unité | Valeur |
|---|---|
| ϑ de température en °C | 410 |
| Temps t en h | 4 |
| Contrainte de compression (CS) en MPa | 441 |
| Profondeur de la couche (DoL) en μm | 11 |
Trempe thermique
Trempe thermique possible du B 270®
4. Chimique
| Classe de Résistance hydrolytique conformément à ISO 719 | Valeur |
|---|---|
| Catégorie | HGB 3 |
| Équivalent alcalin par gramme de grains de verre en μg/g | 136 |
| Résistance aux acides (selon DIN 12116) | Valeur |
|---|---|
| Catégorie | S 2 |
| Demi-perte de poids en surface après 6 heures en mg/dm² | 0,7 |
| Résistance aux alcalins (selon DIN ISO 695) | Valeur |
|---|---|
| Catégorie | A 1 |
| Perte pondérale en surface après 3 heures en mg/dm² | 71 |
5. Colorimétrie
| Coordonnées de chromaticité* pour une épaisseur de 2,0 mm | Valeur |
|---|---|
| D65 | x = 0,313 |
| D65 | y = 0,329 |
| A | x = 0,448 |
| A | y = 0,408 |
* Les coordonnées de chromaticité (locus de couleur) sont référencées par l’éclairement standard nommé selon CIE (2 °-Observer)
| Indice général de rendu des couleurs Ra pour une épaisseur en mm | Valeur |
|---|---|
| 2,0 | 100 |
6. Électrique
| Constante diélectrique εr (à ϑ = 25 °C) | Valeur |
|---|---|
| à 1 MHz | 7,5 |
| à 1 GHz | 6,7 |
| à 2 GHz |
6,8 |
| à 5 GHz | 6,7 |
| à 24 GHz |
6,6 |
| Facteur de dissipation tan δ (à ϑ = 25 °C) |
Valeur |
|---|---|
| à 1 MHz | 32 · 10-4 |
| à 1 GHz | 59 · 10-4 |
| à 2 GHz |
66 · 10-4 |
| à 5 GHz | 84 · 10-4 |
| à 24 GHz | 150 · 10-4 |
| Résistivité volumique électrique ρD en Ω·cm (à 50 Hz) |
|---|
| 6,1 · 107 (ϑ = 250 °C) |
| 1,6 · 106 (ϑ = 350 °C) |
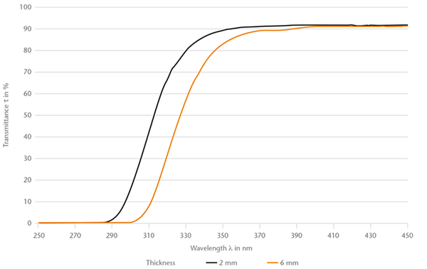
7. Valeurs de transmission
Transmission spectrale 250 - 3200 nm

Transmission spectrale 250 - 450 nm

| Longueur d’onde en nm pour une épaisseur de 2,0 mm : | τ (λ) en % |
|---|---|
| 254 | < 0,1 |
| 380 | 90,8 |
| 632,8 | 91,9 |
| 1064 | 91,8 |
| Longueur d’onde du bord à 2 mm d’épaisseur | Longueur d'onde en nm |
|---|---|
| λc (τ = 0,46) | 310 |
| λS (τ = 0,05) | 293 |
| λP (τ = 0,85) | 338 |
| Solarisation* après rayonnement UV à une épaisseur de 2 mm | Δ λc en nm |
|---|---|
| Déplacement de la longueur d’onde du bord UV λc (τ = 0,46) dans la direction de la longueur d’onde la plus longue | < 2 |
* Procédures de mesure et de test :
L’échantillon sera irradié à l’aide d’une lampe UV F 400.
Le temps d’irradiation est de 7 h ; la distance entre la lampe et la fixation de l’échantillon est de 14 cm.
| Transmission lumineuse pour une épaisseur en mm | τvD65 en % | τvA en % |
|---|---|---|
| 2,0 | 91,7 | 91,7 |
| Transmission UV pour une épaisseur en mm | τUVA en % | τUVB en % |
|---|---|---|
| 2,0 | 84 | 19 |
| Transmission IR pour une épaisseur en mm | τAen % |
|---|---|
| 2,0 | 91,9 |
| Transmission solaire directe pour une épaisseur en mm | τeen % |
|---|---|
| 2,0 | 91,6 |
Propriétés du matériau B 270® Thin
1. Optique
| Propriétés optiques | Valeur |
|---|---|
| Indice de réfraction* ng | 1,5341 |
| Indice de réfraction* nF | 1,5297 |
| Indice de réfraction* nF | 1,5292 |
| Indice de réfraction* ne | 1,5251 ± 0,001 |
| Indice de réfraction* nd | 1,5230 |
| Indice de réfraction* nD | 1,5229 |
| Indice de réfraction* nC' | 1,5207 |
| Indice de réfraction* nC | 1,5203 |
| Valeur Abbe ve | 58,3 ± 0,6 |
| Constante photoélastique en (nm/cm)/Mpa | 28,6 |
* Indices de réfraction :
Prétraitement des échantillons. État à la livraison [« tel que dessiné »]
2. Thermique
| Propriétés thermiques générales | Unité | Valeur |
|---|---|---|
| Coefficient de dilatation thermique α | 10-6·K-1 (20 °C ; 300 °C) | 9,4 |
| Capacité thermique spécifique moyenne cp | en J/(g·K) (20 °C ; 100 °C) | 0,8 |
| Température de transformation Tg | en °C | 536 |
| Viscosités | lg ŋ de viscosité en dPas | Température en °C |
|---|---|---|
| Point de tension | 14,5 | 505 |
| Température supérieure de recuit | 13,0 | 535 |
| Température de ramollissement | 7,6 | 723 |
3. Mécanique
| Propriétés mécaniques |
Unité | Valeur |
|---|---|---|
| Densité p | en g/cm³ | 2,56 |
| Module E de Young | en kN/mm² | 69,8 |
| Rapport de Poisson μ | 0,25 | |
| Module de torsion G | en kN/mm² | 28 |
| Dureté Knoop | HK 0,1/20 | 480 |
| Dureté Vickers | HV 0,2/25 | 520 |
Trempe chimique (pour épaisseur = 0,3 mm)
| Unité | Valeur |
|---|---|
| Température ϑ en °C | 410 |
| Temps t en h | 4 |
| Contrainte de compression (CS) en MPa | 331 |
| Profondeur de la couche (DoL) en μm | 16 |
4. Chimique
| Classe de Résistance hydrolytique conformément à ISO 719 | Valeur |
|---|---|
| Catégorie | HGB 3 |
| Équivalent alcalin par gramme de grains de verre en μg/g | 170 |
| Résistance aux acides (selon DIN 12116) | Valeur |
|---|---|
| Catégorie | S 2 |
| Demi-perte de poids en surface après 6 heures en mg/dm² | 1,0 |
| Résistance aux alcalins (selon DIN ISO 695) | Valeur |
|---|---|
| Catégorie | A 2 |
| Perte pondérale en surface après 3 heures en mg/dm² | 80 |
5. Électrique
| Constante diélectrique εr (à ϑ = 25 °C) | Valeur |
|---|---|
| à 1 MHz | 7,2 |
| à 1 GHz | 6,8 |
| à 2 GHz |
6,8 |
| à 5 GHz | 6,7 |
| à 24 GHz |
6,8 |
| à 77 GHz | 6,5 |
| Facteur de dissipation tanδ (à ϑ = 25 °C) |
Valeur |
|---|---|
| à 1 MHz | 32 · 10-4 |
| à 1 GHz | 59 · 10-4 |
| à 2 GHz |
66 · 10-4 |
| à 5 GHz | 84 · 10-4 |
| à 24 GHz | 150 · 10-4 |
| à 77 GHz | 230 · 10-4 |
| Conductivité σ en S/cm pour courant continu | Valeur |
|---|---|
| à 25 °C | 5 · 10-16 |
| à 250 °C | 4 · 10-9 |
| à 350 °C | 2 · 10-7 |
| Résistivité volumique électrique ρD en Ω·cm pour courant alternatif 50 Hz | Valeur |
|---|---|
| à 25 °C | 8,6 · 1011 |
| à 250 °C | 2,4 · 108 |
| à 350 °C | 5,8 · 106 |
| Température tk 100 en °C | Valeur |
|---|---|
| à 108 Ω · cm | 272 |
6. Valeurs de transmission
Transmission spectrale 250 - 3050 nm

Transmission spectrale : 250 - 450 nm

| Longueur d’onde en nm pour une épaisseur de 0,3 mm : | τ(λ) en % |
|---|---|
| 254 | < 0,1 |
| 380 | 91,3 |
| 632,8 | 92,0 |
| 1064 | 92,2 |
| Longueur d’onde du bord λc (τ = 0,46) à une épaisseur en mm | Longueur d’onde en nm |
|---|---|
| 0,3 | 287 |
| 0,9 | 299 |
| Transmission lumineuse pour une épaisseur en mm | τvD65 en % | τvA en % |
|---|---|---|
| 0,3 | 91,9 | 91,9 |
| 0,9 | 91,6 | 91,7 |
Produits B 270®
Le verre SCHOTT B 270® est disponible en :
- Feuilles
- Substrats découpés sur mesure
- Wafers et substrats polis
Le verre SCHOTT B 270® Thin est disponible en :
- Substrats découpés sur mesure
- Substrats et wafers mats, non polis
Pour en savoir plus, veuillez consulter les produits associés en page de présentation.