Bitte beachten Sie, dass es zwischen dem 23. Dezember 2025 und dem 5. Januar 2026 zu Verzögerungen bei der Bearbeitung neuer Registrierungen kommen kann.
Wir danken Ihnen für Ihr Verständnis und Ihre Kooperation in diesem Zeitraum und wünschen Ihnen eine frohe Weihnachtszeit sowie ein erfolgreiches neues Jahr 2026.

IRG 22

IRG 22 hat eine hervorragende Transmission im SWIR, MWIR und LWIR und die beste Transmission der IRG-Serie im NIR-Band mit einer Transmission ab 0,7 μm.

Physikalische Eigenschaften wie ein niedriges dn/dT und geringe Dispersion ermöglichen es Optikdesignern, farbkorrigierte optische Systeme ohne thermische Defokussierung zu entwerfen.

Darüber hinaus kann IRG 22 durch herkömmliches Schleifen und Polieren, Einpunkt-Diamantdrehen oder Präzisionsblankpressen verarbeitet werden, um die Herstellung von Bauteilen mit hohem oder niedrigem Volumen zu realisieren.

IRG 22
IR-Eigenschaften
Zusammensetzung Ge33As12Se55
Dichte 4,41 g/cm3
Thermische Ausdehnung (20°C-100°C) 12,5·10-6/K
Transformationstemperatur 368°C
Änderung des dn/dt Koeffizenten bei 1 µm 94,7·10-6/K
Änderung des dn/dt Koeffizenten bei 5 µm 67,6·10-6/K
Änderung des dn/dt Koeffizenten bei 10 µm 67,1·10-6/K
Brechzahl bei 10µm 2,4968
Oberflächenqualität 60/40 beidseitige Politur
Oberflächenebenheit ≤ 5 λ pro Oberfläche bei 632.8nm
Kantenbearbeitung Schutzfacettierung
Melden Sie sich an, um Ihr Produkt auszuwählen

Als registrierter Benutzer in unserem Shop genießen Sie viele Vorteile

  • Einfach bestellen
  • Überblick über den Bestand
  • Einfache Profilverwaltung
Benötigen Sie Hilfe oder ein Angebot?
Kontaktieren Sie unseren Support
Artikeldetails
SCHOTT
Artikel
Glasart
DU
D
Gewicht
 
Technische Daten
Reintransmissionsgrad (Diagramm)
Reintransmissionsgrad (Tabelle)
Wellenlänge
[µm]
Transmission
(10 mm)
Transmission
(2 mm)
Extinction
[cm-1]
0,8 52,2 87,8 0,650
1,0 91,4 98,2 0,090
1,5 96,7 99,3 0,034
2,0 97,5 99,5 0,026
2,5 97,5 99,5 0,025
3,0 98,3 99,7 0,017
3,5 98,5 99,7 0,015
4,0 98,7 99,7 0,013
4,5 96,3 99,3 0,037
5,0 97,0 99,4 0,031
5,5 99,5 99,9 0,005
6,0 99,7 99,9 0,003
6,5 99,7 99,9 0,003
7,0 99,7 99,9 0,003
7,5 99,2 99,8 0,008
8,0 95,2 99,0 0,049
Wellenlänge
[µm]
Transmission
(10 mm)
Transmission
(2 mm)
Extinction
[cm-1]
8,5 98,5 99,7 0,015
9,0 98,8 99,8 0,012
9,5 98,7 99,7 0,013
10,0 98,8 99,8 0,012
10,5 97,8 99,6 0,022
11,0 93,7 98,7 0,065
11,5 78,0 95,2 0,248
12,0 40,2 83,4 0,910
12,5 15,8 69,2 1,844
13,0 16,9 70,1 1,779
13,5 43,0 84,4 0,845
14,0 65,2 91,8 0,428
14,5 70,3 93,2 0,353
15,0 64,3 91,5 0,442
15,5 49,9 87,0 0,696
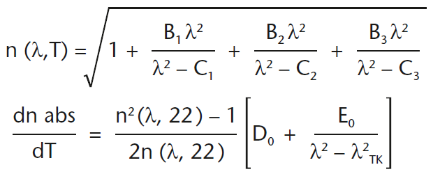
Materialdaten
Dispersionskonstanten
B1 2,4834
B2 2,8203
B3 0,9773
C1 0,0000
C2 0,1352
C3 1.420,7000
D0 6,41·10-5
E0 1,68·10-7
λTK 9,96·10-1
Calculation Formula: Refractive index as a function of wavelength and temperature
Wellenlänge
[µm]
Brechzahl
(@ 22 °C)
Δn abs/ΔT [10–6/K]
22 °C
1,0 2,5971 94,8
1,5 2,5462 69,1
2,0 2,5299 68,4
3,0 2,5182 68,0
4,0 2,5134 67,8
5,0 2,5104 67,7
6,0 2,5079 67,6
7,0 2,5054 67,5
8,0 2,5028 67,4
9,0 2,5000 67,3
10,0 2,4968 67,1
11,0 2,4933 67,0
12,0 2,4893 66,9
Wellenlänge
[µm]
Änderung des Koeffizenten
[dn/dt]
1 µm 94.7·10-6/K
5 µm 67.6·10-6/K
10 µm 67.1·10-6/K