Please note: Due to maintenance the shop will be unavailable on Tuesday, October 28, from 06:00 AM until 08:00 AM (CEST)

IRG 25

IRG 25在SWIR,MWIR和LWIR波段具有出色的透射率。

低dn / dT和低色散等物理特性,使光学工程师可以设计出没有热散焦效应的颜色校正光学系统。

此外,IRG 25可以通过常规的研磨和抛光,单点金刚石车削或精密模压方式加工,以支持从小批量到大批量的零件制造。

IRG 25
红外特性
成分 Ge28Sb12Se60
密度 4.66 g/cm3
热膨胀系数(20°C-100°C) 14.0·10-6/K
转变温度 285°C
热变化 dn/dT (1 µm) 79.2·10-6/K
热变化 dn/dT (5 µm) 62.0·10-6/K
热变化 dn/dT (10 µm) 61.1·10-6/K
折射率(10um) 2.6030
表面质量 60/40双面抛光
表面平整度 P-V ≤ 5个波长@632.8nm
倒边 安全倒边
登录后,您就可以选择您的产品

作为我们在线商店的注册用户,您将享受多项优惠。

  • 轻松下单
  • 库存总览
  • 简单的个人资料管理
您需要帮助或报价吗?
与我们的支持团队联系
文章详情
SCHOTT
物品编号
玻璃类型
直径
厚度
重量
 
技术规格
内部透过率(图表)
内部透过率(表格)
波长
[µm]
透射率
(10 mm)
透射率
(2 mm)
Extinction
[cm-1]
1.0 81.6 96.0 0.203
1.5 95.7 99.1 0.044
2.0 96.2 99.2 0.039
2.5 96.3 99.2 0.038
3.0 96.5 99.3 0.036
3.5 97.5 99.5 0.025
4.0 98.0 99.6 0.020
4.5 95.6 99.1 0.045
5.0 95.6 99.1 0.045
5.5 98.8 99.8 0.012
6.0 99.0 99.8 0.010
6.5 98.9 99.8 0.011
7.0 99.1 99.8 0.009
7.5 98.7 99.7 0.013
8.0 96.1 99.2 0.040
波长
[µm]
透射率
(10 mm)
透射率
(2 mm)
Extinction
[cm-1]
8.5 98.1 99.6 0.019
9.0 97.9 99.6 0.021
9.5 98.0 99.6 0.020
10.0 98.2 99.6 0.018
10.5 96.9 99.4 0.031
11.0 93.8 98.7 0.064
11.5 85.0 96.8 0.163
12.0 60.1 90.3 0.509
12.5 31.1 79.2 1.167
13.0 31.1 79.2 1.167
13.5 52.0 87.7 0.654
14.0 69.7 93.0 0.361
14.5 71.8 93.6 0.332
15.0 63.1 91.2 0.461
15.5 47.2 86.0 0.752
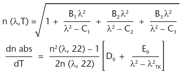
材料数据
色散公示常数
B1 2.7574
B2 3.0990
B3 1.6660
C1 0.0000
C2 0.1596
C3 2,045.5000
D0 5.50·10-5
E0 1.21·10-5
λTK 7.59·10-5
计算公式:折射率与波长及温度之间的函数关系
波长
[µm]
折射率
(@ 22 °C)
Δn abs/ΔT [10–6/K]
22 °C
0.8 2.7811 0.0
1.0 2.7284 79.2
1.5 2.6629 69.0
2.0 2.6423 65.7
3.0 2.6277 63.3
4.0 2.6219 62.4
5.0 2.6183 62.0
6.0 2.6154 61.8
7.0 2.6126 61.6
8.0 2.6097 61.4
9.0 2.6065 61.3
10.0 2.6030 61.1
11.0 2.5992 61.0
12.0 2.5949 60.8
波长
[µm]
热变化
[dn/dt]
1 µm 79.2·10-6/K
5 µm 62.0·10-6/K
10 µm 61.1·10-6/K