Datos técnicos de B 270
Intervalo de valores de transmitancia y de espesores líder en el mercado
Propiedades del material B 270®
1. Ópticas
| Propiedades ópticas | Valor |
|---|---|
| Índice de refracción* ng | 1.5341 |
| Índice de refracción* nF' | 1.5297 |
| Índice de refracción* nF | 1.5292 |
| Índice de refracción* ne | 1.5251 ± 0.001 |
| Índice de refracción* nd | 1.5230 |
| Índice de refracción* nD | 1.5229 |
| Índice de refracción* nC' | 1.5207 |
| Índice de refracción* nC | 1.5203 |
| Valor Abbe νe | 58.3 ± 0.6 |
| Constante fotoelástica en (nm/cm)/Mpa | 27.5 |
* Índices de refracción:
Pretratamiento de las muestras. Estado de suministro ["según el dibujo"]
2. Térmicas
| Propiedades térmicas generales | Unidad | Valor |
|---|---|---|
| Capacidad calorífica específica media cp | en J/(g·K) (20 °C ; 100 °C) | 0.8 |
| Temperatura de transformación Tg | en °C | 542 |
Coeficiente de dilatación térmica (CTE) α en 10-6·K-1 (medición estática)
| Grado | Valor |
|---|---|
| (20 °C; 300 °C) | 9.4 |
| (20 °C; 200 °C) | 9.0 |
| (20 °C; 100 °C) | 8.6 |
Coeficiente de dilatación térmica (CTE)°α en 10-6·K-1 (medición dinámica)
| Grado | Valor |
|---|---|
| (20 °C; 100 °C) | 8.6 |
| (20 °C; 150 °C) | 8.8 |
| (20 °C; 200 °C) | 9.0 |
| (20 °C; 250 °C) | 9.2 |
| (20 °C; 300 °C) | 9.4 |
| (20 °C; 350 °C) | 9.6 |
| (20 °C; 400 °C) | 9.7 |
| (20 °C; 450 °C) | 9.9 |
| Viscosidades | Viscosidad lg ŋ en dPas | Temperatura en °C |
|---|---|---|
| Punto de deformación | 14.5 | 507 |
| Punto de recocido | 13.0 | 535 |
| Punto de ablandamiento | 7.6 | 711 |
Fusibilidad:
La fusión con los tipos de vidrio ARTISTA® de SCHOTT utilizando un programa de temperatura/tiempo adaptado crea un compuesto técnicamente libre de estrés con una birrefringencia de tensión máxima de 70 nm/cm.
3. Mecánicas
| Propiedades mecánicas |
Unidad | Valor |
|---|---|---|
| Densidad ρ | en g/cm³ | 2.56 |
| Módulo E de Young | en kN/mm² | 71.1 |
| Cociente de Poisson µ | 0.22 | |
| Módulo de torsión G | en kN/mm² | 29 |
| Dureza Knoop | HK 0.1/20 | 500 |
| Dureza Vickers | HV 0.2/25 | 510 |
Endurecimiento químico (para grosor = 2.0 mm)
| Unidad | Valor |
|---|---|
| Temperatura ϑ en °C | 410 |
| Tiempo t en h | 4 |
| Tensión de compresión (CS) en MPa | 441 |
| Profundidad de capa (DoL) en μm | 11 |
Endurecimiento térmico:
Posibilidad de endurecimiento térmico de B 270®
4. Químicas
| Resistencia hidrolítica (según DIN ISO 719) | Valor |
|---|---|
| Clase | HGB 3 |
| Equivalente de álcali por gramo de grano de vidrio en μg/g | 136 |
| Resistencia a ácidos (según DIN 12116) | Valor |
|---|---|
| Clase | S 2 |
| Pérdida de peso de media superficie después de 6 horas en mg/dm² | 0.7 |
| Resistencia alcalina (según DIN ISO 695) | Valor |
|---|---|
| Clase | A 1 |
| Pérdida de peso en la superficie después de 3 horas en mg/dm² | 71 |
5. Colorimetría
| Coordenadas de cromaticidad* a un grosor de 2.0 mm | Valor |
|---|---|
| D65 | x = 0.313 |
| D65 | y = 0.329 |
| A | x = 0.448 |
| A | y = 0.408 |
* Las coordenadas de cromaticidad (locus de color) se refieren al denominado iluminador estándar según CIE (2°-Observer)
| Índice de reproducción cromática general Ra en grosores en mm | Valor |
|---|---|
| 2.0 | 100 |
6. Eléctricas
| Constante dieléctrica εr (a ϑ = 25 °C) | Valor |
|---|---|
| a 1 MHz | 7.5 |
| a 1 GHz | 6.7 |
| a 2 GHz |
6.8 |
| a 5 GHz | 6.7 |
| a 24 GHz |
6.6 |
| Factor de disipación tan δ (at ϑ = 25 °C) |
Valor |
|---|---|
| a 1 MHz | 32 · 10-4 |
| a 1 GHz | 59 · 10-4 |
| a 2 GHz |
66 · 10-4 |
| a 5 GHz | 84 · 10-4 |
| a 24 GHz | 150 · 10-4 |
| Resistividad eléctrica volumétrica ρD° en Ω·cm (a 50 Hz) |
|---|
| 6.1 · 107 (ϑ = 250 °C) |
| 1.6 · 106 (ϑ = 350 °C) |
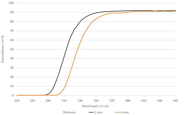
7. Valores de transmitancia
Transmitancia espectral 250 - 3200 nm

Transmitancia espectral 250 - 450 nm

| Longitud de onda en nm con un grosor de 2.0 mm: | τ (λ) in % |
|---|---|
| 254 | < 0.1 |
| 380 | 90.8 |
| 632.8 | 91.9 |
| 1064 | 91.8 |
| Longitud de onda del borde a 2 mm de grosor | Longitud de onda en nm |
|---|---|
| λc (τ = 0,46) | 310 |
| λS (τ = 0,05) | 293 |
| λP (τ = 0,85) | 338 |
| Solarización* tras radiación UV con un grosor de 2 mm | Δ λc en nm |
|---|---|
| Desplazamiento de la longitud de onda del borde UV λc (τ = 0.46) en la dirección de la longitud de onda más larga | < 2 |
* Procedimientos de medición y prueba:
La muestra se irradiará con una lámpara de inmersión UV-F400.
El tiempo de irradiación es de 7 h; la distancia entre la lámpara de inundación y la fijación de la muestra es de 14 cm.
| Transmitancia luminosa a grosores en mm | τvD65 en % | τvA en % |
|---|---|---|
| 2.0 | 91.7 | 91.7 |
| Transmitancia UV a grosores en mm | τUVA en % | τUVB en % |
|---|---|---|
| 2.0 | 84 | 19 |
| Transmitancia IR a grosor en mm | τA en % |
|---|---|
| 2.0 | 91.9 |
| Transmitancia solar directa a espesor en mm | τe en % |
|---|---|
| 2.0 | 91.6 |
Propiedades del material de B 270® Thin
1. Ópticas
| Propiedades ópticas | Valor |
|---|---|
| Índice de refracción* ng | 1.5341 |
| Índice de refracción* nF' | 1.5297 |
| Índice de refracción* nF | 1.5292 |
| Índice de refracción* ne | 1.5251 ± 0.001 |
| Índice de refracción* nd | 1.5230 |
| Índice de refracción* nD | 1.5229 |
| Índice de refracción* nC' | 1.5207 |
| Índice de refracción* nC | 1.5203 |
| Valor Abbe νe | 58.3 ± 0.6 |
| Constante fotoelástica en (nm/cm)/Mpa | 28.6 |
* Índices de refracción:
Pretratamiento de las muestras. Estado de suministro ["según el dibujo"]
2. Térmicas
| Propiedades térmicas generales | Unidad | Valor |
|---|---|---|
| CTE (Coeficiente de expansión térmica) α | 10-6·K-1 (20°C; 300°C) | 9.4 |
| Capacidad calorífica específica media cp | en J/(g·K) (20 °C ; 100 °C) | 0.8 |
| Temperatura de transformación Tg | en °C | 536 |
| Viscosidades | Viscosidad lg ŋ en dPas | Temperatura en °C |
|---|---|---|
| Punto de deformación | 14.5 | 505 |
| Punto de recocido | 13.0 | 535 |
| Punto de ablandamiento | 7.6 | 723 |
3. Mecánicas
| Propiedades mecánicas |
Unidad | Valor |
|---|---|---|
| Densidad ρ | en g/cm³ | 2.56 |
| Módulo E de Young | en kN/mm² | 69.8 |
| Cociente de Poisson µ | 0.25 | |
| Módulo de torsión G | en kN/mm² | 28 |
| Dureza Knoop | HK 0.1/20 | 480 |
| Dureza Vickers | HV 0.2/25 | 520 |
Endurecimiento químico (para grosor = 0.3 mm)
| Unidad | Valor |
|---|---|
| Temperaturaϑen °C | 410 |
| Tiempo t en h | 4 |
| Tensión de compresión (CS) en MPa | 331 |
| Profundidad de capa (DoL) en μm | 16 |
4. Químicas
| Resistencia hidrolítica (según DIN ISO 719) | Valor |
|---|---|
| Clase | HGB 3 |
| Equivalente de álcali por gramo de grano de vidrio en μg/g | 170 |
| Resistencia a ácidos (según DIN 12116) | Valor |
|---|---|
| Clase | S 2 |
| Pérdida de peso de media superficie después de 6 horas en mg/dm² | 1.0 |
| Resistencia alcalina (según DIN ISO 695) | Valor |
|---|---|
| Clase | A 2 |
| Pérdida de peso en la superficie después de 3 horas en mg/dm² | 80 |
5. Eléctricas
| Constante dieléctrica εr (a ϑ= 25 °C) | Valor |
|---|---|
| a 1 MHz | 7.2 |
| a 1 GHz | 6.8 |
| a 2 GHz |
6.8 |
| a 5 GHz | 6.7 |
| a 24 GHz |
6.8 |
| a 77 GHz | 6.5 |
| Factor de disipación de tanδ (a ϑ= 25 °C) |
Valor |
|---|---|
| a 1 MHz | 32 · 10-4 |
| a 1 GHz | 59 · 10-4 |
| a 2 GHz |
66 · 10-4 |
| a 5 GHz | 84 · 10-4 |
| a 24 GHz | 150 · 10-4 |
| a 77 GHz | 230 · 10-4 |
| Conductividad (σ en S/cm) para corriente continua | Valor |
|---|---|
| a 25 °C: | 5 · 10-16 |
| a 250 °C | 4 · 10-9 |
| a 350 °C: | 2 · 10-7 |
| Resistencia al volumen eléctrico ρD en Ω·cm para corriente alterna 50 Hz | Valor |
|---|---|
| a 25 °C: | 8.6 · 1011 |
| a 250 °C | 2.4 · 108 |
| a 350 °C: | 5.8 · 106 |
| Temperatura tk 100 en °C | Valor |
|---|---|
| a 108 Ω · cm | 272 |
6. Valores de transmitancia
Transmitancia espectral 250 - 3050 nm

Transmitancia espectral: 250 - 450 nm

| Longitud de onda en nm con un grosor de 0.3 mm: | τ(λ) in % |
|---|---|
| 254 | < 0.1 |
| 380 | 91.3 |
| 632.8 | 92.0 |
| 1064 | 92.2 |
| Longitud de onda del borde λc (τ = 0.46) a grosor en mm | Longitud de onda en nm |
|---|---|
| 0.3 | 287 |
| 0.9 | 299 |
| Transmitancia luminosa a grosores en mm | τvD65en % | τvA en % |
|---|---|---|
| 0.3 | 91.9 | 91.9 |
| 0.9 | 91.6 | 91.7 |
Productos B 270®
SCHOTT B 270® está disponible como:
- Láminas
- Substratos cortados a medida
- Sustratos y láminas pulidos
SCHOTT B 270® Thin está disponible como:
- Substratos cortados a medida
- Sustratos y láminas no pulidos
Para obtener más información, consulte los productos relacionados en la página de descripción general.